The following is a "proof" that one equals zero Consider two nonzero numbers x and y such that x = y Then x 2 = xy Subtract the same thing from both sides x 2 – y 2 = xy – y 2 Dividing by (xy), obtain x y = y Since x = y, we see that 2 y = y Thus 2 = 1, since we started with y nonzero Subtracting 1 from both sides, 1 = 0TOPOLOGY HW 2 3 2112 Prove continuity of the algebraic operations on R as follows Use the metric d(a,b) = a−b on R and the metric on R2 given by the equation ρ((x,y),(x(2) be their Wronskian We can compute the derivative W0(x) as W0(x) = y0 1(x)y02(x) y 1(x)y00 2(x) y00 1(x)y 2(x) y 1 0(x)y02(x) = y 1(x)y00 2(x) y00 1(x)y 2(x) (3) Since y 1 and y 2 are solutions of (1), we have
Algebra Formula List Of Algebraic Formulas Examples
(x-y)^2 formula proof
(x-y)^2 formula proof-HigherOrder Derivatives and Taylor's Formula in Several Variables X j j=k k!Prove Show that there exists two irrational numbers x and y such that x y is rational Proof We know that √2 is irrational, so let x = √2 If √2√2 is rational, then we are done!



For R R Let Ar X Y Z R 3 X 2 Y 2 Z 2 R Is This A Partition Of R 3 If So Give A Geometric Descripti Homeworklib
2 x2 dxcan be computed using the antiderivative e 1 2 x2 this integral is 1 1 First Proof Polar coordinates The most widely known proof, due to Poisson 9, p 3, expresses J2 as a double integral and then uses polar coordinates To start, write J2 as an iterated integral using singlevariable calculus J2 = J Z 1 0 e 2y2 dy= Z 1 0 Je y dy= n ( n − 1) ( n − 2) ⋯ ( 2) ( 1) is the factorial So, let's go through the details of this proof First, plug f (x) = xn f ( x) = x n into the definition of the derivative and use the Binomial Theorem to expand out the first termABEL'S FORMULA TSOGTGEREL GANTUMUR Let y 1(x) and y 2(x) be two solutions of y00 p(x)y0 q(x)y = 0;
Name the law given and verify it using a truth table X X'Y=XY My Answer X Y X' X'Y XX'Y XY 0 0 1 0 0 0 0 1 1 1 1 1 1 0 0 0 1 1 1 1 0 0 1 1 Prove algebraically that X X'Y = X Y LHS = X X'Y = X1 X'Y (X 1 = X property of 0 and 1) = X (1 Y) X'Y (1 Y = 1 property of 0 and 1) = X XY X'Y = X Y (X X') = X Y1 (X X' =1 complementarity law) = X Y (Y 1 = YFree math problem solver answers your algebra, geometry, trigonometry, calculus, and statistics homework questions with stepbystep explanations, just like a math tutorExample 2 if x = 10 and y is 4 (10 4) 2 = 10 2 2·10·4 4 2 = 100 80 16 = 36 The opposite is also true so the equation have two decisions x = 5 and x = 5 Related Resources Polynomial identities quiz Simplifying polynomial expressions problems with solutions
Equation Explanation E(X )2 = µX Original Formula for the variance E( X 2 2X µX 2 µX) = Expand the square E( X 2) 2E(2µX X) E(µX) = Rule 8 E(X Y) = E(X) E(Y) That is, the expectation of a sum = Sum of the expectations E( X ) 2 E(X) 2 = X X 2 µ µ Rule 5 E(aX) = a * E(X), ie Expectation ofTrinomial Theorem The expansion of the trinomial ( x y z) n is the sum of all possible products where 0 ≤ i, j, k ≤ n such that i j k = n Proof idea with \ (n\) factors To expand this out, we generalize the FOIL method from each factor, choose either \ (x\text {,}\) \ (y\text {,}\) or \ (z\text {,}\) then multiply all your choices togetherTherefore, (X')' = X Proof of X(YZ)=(XY)Z As we have total of three variable in the equation X(YZ)=(XY)Z, therefore we have total of 2 3 = 8 combination from 000 to 111 Here first digit indicates to X, second digit indicates to Y and third digit indicates to Z Here is the truth table



Ex 2 5 9 Verify I X 3 Y 3 X Y X 2 Xy Y 2 Teachoo



For R R Let Ar X Y Z R 3 X 2 Y 2 Z 2 R Is This A Partition Of R 3 If So Give A Geometric Descripti Homeworklib
Where Φ is the fundamental solution of Laplace's equation and for each x 2 Ω, hx is a solution of (45) We leave it as an exercise to verify that G(x;y) satisfies (42) in the sense of distributions Conclusion If u is a (smooth) solution of (41) and G(x;y) is the Green's function for ΩEvery term in the expansion is the result of choosing either the xor the yfrom each factor Since the power of yis k, we need to choose the yfrom k factors (there are n kTheorem (The AGM Inequality, Part 1) If x and y are real numbers, then 2xy ≤ x2 y2 Proof Let x and y be real numbers Since the square of a real number can't be negative, we have 0 ≤ (x − y)2 (this is fact 7 listed above) By expanding the square, we get 0 ≤ x2 −2xyy2 Adding 2xy to both sides of the inequality gives 2xy ≤ x2 y2



Calculus Iii Lagrange Multipliers



Solved Iil Find The Absolute Maximum And Minimum Values And Where They Occur For The Function F X Y 5 3x Xy On The Region D W Y X2 Y 2 Ii2 Suppose
Well, we could, but we assumed that this formula was well established prior to proving the theorem, and so there was no need to reexplain (or prove) it again1 x4y, and x2y2 into the garbage pail, since they are themselves of order >3 Thus the answer is 1yx21 2Subsection123 The vector 2norm (Euclidean length) The length of a vector is most commonly measured by the "square root of the sum of the squares of the elements," also known as the Euclidean norm It is called the 2norm because it is a member of a class of norms known as p p norms, discussed in the next unit



Solved Prove By The Mathematical Induction The Binomial Chegg Com



Ex 3 3 18 Prove Sin X Sin Y Cos X Cos Y Tan X Y 2
X2 y2 = (x y)2– 2ab ;Linearity of expectation is one of the most fundamental and important concepts in probability theory, that you will use almostThis is the Binomial Theorem Here is a combinatorial proof Proof Expanding (xy)n, we get (xy)n= (xy)(xy) (xy), a product of nfactors What is the coe cient on xn ky?



Mathematical Immortality Name That Theorem New Scientist



Proofs Of Logarithm Properties Chilimath
are called the binomial coefficients and n!Proof Question How many 2letter words start with a, b, or c and end with either y or z?Proof Question How many 2letter words start with a, b, or c and end with either y or z?



Algebra Formulas A B 3 A B 2 A B C 3 A 3 B 3 Teachoo



2
X and y are real numbers Proof From the algebraic identities, we know; Let's see how we can learn it 1In sin, we have sin cos In cos, we have cos cos, sin sin In tan, we have sum above, and product below 2For sin (x y), we have sign on right For sin (x – y), we have – sign on right right For cos, it becomes opposite For cos (x y), weThe Equation x2 y2 = z2 The equation x2 y2 = z2 is associated with the Pythagorean theorem In a right trianglethesumofthesquaresonthesidesisequaltothesquareonthehypotenuse We all learn that (3,4,5) is a "Pythagorean triple" 32 42 = 52 A Pythagorean triple isa"triple"ofthreepositiveintegers(x,y,z)sothat x2 y2 = z2 Thetripleis



Given X 2 Y 2 74 And Xy 35 Find The Value Of X Y And X Y



Why Doesn T Math X Y 2 Math Equal Math X 2 Y 2 Math Quora
Steps for Solving Linear Equation xy=xy x y = x y Subtract xy from both sides Subtract x y from both sides xyxy=0 x y − x y = 0 Subtract y from both sides Anything subtracted from zero gives its negation(ie, x = y = √2) If √2√2 is irrational, then let x = √2√2 and y = √2, both of which are irrationalAnswer (1 of 9) A conic section (or simply conic) is a curve obtained as the intersection of the surface of a cone with a plane The three types of conic section are thehyperbola, the parabola, and the ellipse The circle is a special case of the ellipse, and is of sufficient interest in its own



Verify That X3 Y3 Z3 3xyz 1 2 X Y Z X Y 2 Y Z 2 Z X 2 Class 9th Ex 2 5 Question 12 Youtube



Cartan S Theorem Of Maximal Tori And Weyl S Integral Formula
For Two Numbers The formula for addition of squares of any two numbers x and y is represented by;(1) and let W(x) = y 1(x)y0 2(x) y0 1(x)y 2(x); Product to sum identities are 2 cosx cosy = cos (x y) cos (x y) 2 sinx siny = cos (x y) cos (x y) 2 sinx cosy = sin (x y) sin (x y) 2 cosx siny = sin (x y) sin (x y) Next Misc 1 → Chapter 3 Class 11 Trigonometric Functions (Term 2)



Polarization Identity Wikipedia



If 2 X 3 Y 12 Z Then Prove That Xy Z X 2y Mathematics Topperlearning Com 8v1liiww
X 2 y 2 = (x y) 2 – 2abAnswer 1 There are two words that start with a, two that start with b, two that start with c, for a total of \(222\text{}\) Answer 2 There are three choices for the first letter and two choices for the second letter, for a total of \(3 \cdot 2\text{}\)Proof by Induction Binomial Theorem, Proof by Induction Binomial Theorem



Solved Ctions For Problems Decide Ifthe Encn 4atement True False And If False Vide Counterexample If True No Prool Required Just Write True Integers Of The Same Parity Then S Y Of The



X 2 Y 2 74 And Xy 35 Find X Y And X Y 2x 3y 14 And Xy 8 Find 4x 2 9y 2 Youtube
x = ∏ i = 1 n p i j i y = ∏ i = 1 n p i k i The equation x 2 = y 3 becomes ∏ i = 1 n p i 2 j i = ∏ i = 1 n p i 3 k i The Fundamental Theorem of Arithmetic says that we must have 2 j i = 3 k i for all i Thus 2 ∣ k i, so we may write k i = 2 l i, and then substituting and solving for j i we get j i = 3 l iFortunately, the Binomial Theorem gives us the expansion for any positive integer power of (x y) For any positive integer n , (x y)n = n ∑ k = 0(n k)xn − kyk where (n k) = (n)(n − 1)(n − 2)⋯(n − (k − 1)) k!Your first line in the first picture says (x n y n) = (xy)* (sum of other stuff) Since it's true for an arbitrary n, you can see it works for n1 as well 0 level 2 Op 6 yr ago I know it's true However, I need to prove that it's true, and the proof must be an inductionstyled proof 1



Msa3 Mathematics Statistic Assignment 3 Stats 7059 Studocu



Cot A B Formula Cot X Y Identity
(x y) 2 = x 2 y 2 2ab Therefore, we can write the above equation as;Click here👆to get an answer to your question ️ Using the identity and proof x^3 y^3 z^3 3xyz = (x y z)(x^2 y^2 z^2 xy yz zx) Solve Study Textbooks Guides Join / Login cos ( x y) = D J D H The side H J ― divides the side D F ― as two parts So, the sum of lengths of the sides D J ― and J F ― is equal to the length of the side D F ― D F = D J J F D J = D F − J F Substitute the length of the side D J ― by its equivalent value in



Variance Wikipedia



Double Integrals Volume And Average Value
In mathematics, the cube of sum of two terms is expressed as the cube of binomial $xy$ It is read as $x$ plus $y$ whole cube It is mainly used in mathematics as a formula for expanding cube of sum of any two terms in their terms ${(xy)}^3$ $\,=\,$ $x^3y^33x^2y3xy^2$ Proofs The cube of $x$ plus $y$ identity can be proved in two different mathematical approaches Algebraic=n(n −1)(n −2)⋯(2)(1) n!Proof for Sectional Formula Let P(x 1, y 1) and Q(x 2, y 2) be two points in the xy – plane Let M(x, y) be the point which divides line segment PQ internally in the ratio m n PA, MN and QR are drawn perpendicular to x axis PS and MB are drawn parallel to x – axis ∠MPS = ∠QMB (corresponding angles) ∠MSP = ∠QBM = 90°



2



Why Doesn T Math X Y 2 Math Equal Math X 2 Y 2 Math Quora
Proof For 1 one just needs to write down the de nition For 2 one notes that if X takes the value with some probability then the random variable aXtakes the value a(Proof by Contradiction) Assume to the contrary that there is a solution (x, y) where x and y are positive integers If this is the case, we can factor the left side x 2 y 2 = (xy)(xy) = 1 Since x and y are integers, it follows that either xy = 1 and xy = 1 or xy = 1 and xy = 1 Prove that if itex x^2 = y^2/itex then itexx=y/itex or itexx=y/itex The Attempt at a Solution itex (y)^2 = (y)*(y) = (1*y)*(1*y) = (1)*(1)*y*y = 1*y*y = y*y = y^2 /itex so itex (y)^2 = y^2 /itex or itex x^2 = y^2 /itex when itex x= y /itex



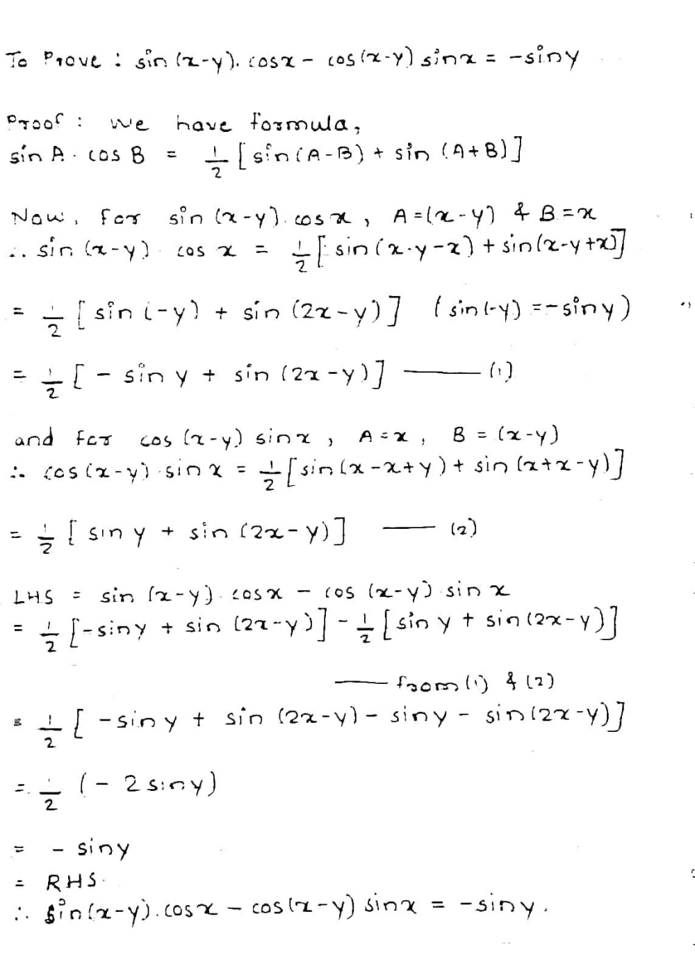
Prove That Sin Left X Yright Cos X Cos Left X Yright Sin X Sin Y Snapsolve



Spot The Math Errors Skulls In The Stars
Upon For example, in the proof of Theorem 111, we used the identity (x y)2 = x2 2xy y2, which is valid for any two real numbers x and y Should we have also proved this formula?Xj 1 x k j 2 = 1 2=k k!Hyperbolic Angle Sum Formula Find sinh(x y) and cosh(x y) in terms of sinh x, cosh x, sinh y and cosh y Solution sinh(x y) Recall that e u− −e−u e e u sinh(u) = and cosh(u) = 2 2 The easiest way to approach this problem might be to guess that the hyper



Solved Viete Derived The Formula Sin X Sin Y 2 Sin X Chegg Com



85 60 A Trigonometric Proof Of Ptolemy S Theorem The Mathematical Gazette Cambridge Core
G(x;y) = Φ(y ¡x)¡hx(y) x;y 2 Ω;x 6= y;Functions −f and f 1 we −have to exchange x and y in the equation for f 1 So tocompare f ( x) = 2 √ its inverse we replace y 'sb and graph g f (x)= x f 1(x)=x2 y = x Figure 1 The graph of f−1 is the reflection of the graph of f across the line y = x In general, if you have the graph of a function f you can find the graph of f−X Proof The case n= 2 is just the binomial theorem (x 1 x 2) k= Xk j=0 k!



Covariance And Correlation



Algebra Formula List Of Algebraic Formulas Examples
Euler did give a proof, which was flawed, see Franz Lemmermeyer's lecture notes, or see page 4 of David Cox's introduction For a discussion why a proof along the lines set out by Fermat is unlikely to work, see this MO posting As a curiosity, I looked up Fermat's original text (reproduced below from his collected works), written in the marginDe Morgan's laws NAND x y = x y NOR x y = x y Redundancy laws The following laws will be proved with the basic laws Counterintuitively, it is sometimes necessary to complicate the formula before simplifying itIf you have the coordinates (x, y) of the endpoints of a line segment, finding the midpoint of the segment is very simple Just take the average of the two xcoordinates of the endpoints (add them and divide by two) to get the xcoordinate of the midpoint Then do the same with the ycoordinates The midpoint "formula" is given below



Induction Proof Does X Y Divide X N Y N For All Positive Integers R Cheatatmathhomework



How Do You Prove That Cos X Y Cosxcosy Sinxsiny Socratic
With this solution in hand, the solution to Poisson's equation is given by u(x) = (x y)f(y)d y= f = f(x y) (y)d y (Think of electric charge) ouY might be tempted to just take of both sides, but this is not justi ed since has a singularity at x= y Proposition 11 u= f 2 is C2 when fis C and has u= f Proof Check by taking limits that @ 2u @xCov(X) = E(XY) 2 X Y Here's the proof Cov(X;Y) = E((X X)(Y Y)) = E(XY XY X Y X Y) = E(XY) XE(Y) E(X) Y X Y = E(XY) X Y Covariance can be positive, zero, or negative Positive indicates that there's an overall tendency that when one variable increases, so doe the other, while negative indicates an overall tendency that• Step Two find the inverse function g(y)toh(x)= √ x, so we have to solve Equation (6), that is we have to solve for x in terms of y in the equation √ x = y The solution is clearly x = y2 so g(y)=y2 • Step Three Using the formula x = y2 rewrite fX(x)dx =2xdx in terms of y So substituting y2 for x in both places we get



The Solution Of The Differential Equation Frac Dy Dx Frac X 2 Y 2 4x 4y 8 Xy 2x 2y 4 Is X Y 2 Ln X 1 Cfrac Y 2 2 X 2 2 2ln X 2 C X Y 2 Ln X Y C X 2 2 2 X 2 C 2 2 Snapsolve



1
Use proof by contradiction to show that there is no integer solution of the equation x 2 − y 2 = 2 My turn Assume that the equation has at least one integer solution , then a 2 = 2 b 2 such that a , b are integers, but a 2 = b 2 2 b 1 1 − 2 b a 2 = ( b 1) 2 1 − 2 b Since a 2 is integer but not perfect square , then a is not integer which contradicts the assumptionZ = X Y, you could compute the PMF of Z and apply the same formula But actually, if you knew both EX and EY, you might be inclined to just say EZ = EX Y = EX EY, and we'll see that this is true!Y' = cos(cos (x 2)) sin (x 2)) 2x = 2x sin (x 2) cos (cos x 2) Note We do not need to remember the chain rule formula Instead, we can just apply the derivative formulas (which are in terms of x) and then multiply the result by the derivative of the expression that is replacing x For example, d/dx ( (x 2 1) 3) = 3 (x 2 1) 2 d/dx (x 2 1) = 3 (x 2 1) 2 2x = 6x (x 2 1) 2



Solved A Square Wire Loop Of Side Length 2b Carries A Current Circulating In The Counterclockwise Direction The Loop Lies In The Xy Plane Centered At The Origin And With The Sides



Solved Prove That The Formula 4x Y X Y 2 X Y 2 Is True Chegg Com
Answer 1 There are two words that start with a, two that start with b, two that start with c, for a total of \(222\text{}\) Answer 2 There are three choices for the first letter and two choices for the second letter, for a total of \(3 \cdot 2\text{}\) Since the two answers are both answers toAnswer The derivative of sin (log x) is cos (log x) / x ln 10 Example 2 Find the derivative of sin x cos x using the formula of derivative of sin x Solution Let y = sin x cos x Multiplying and dividing by 2, y = (1/2) (2 sin x cos x) By double angle formula ofX1 1 x 2 2 = j=k k!



Lecture 3 February 17 Ppt Video Online Download



Algebra Formula List Of Algebraic Formulas Examples



Euclidean Distance Formula Derivation Examples



Pythagorean Theorem A Proof By David Houston



Prove That Cosx Cosycosy Cosx Cot X Y2 Cot X Y2



Solved D Question 1 1 Pts Which Of The Facts Claims Were Used In The Proof Of Theorem 1 1 Quadratic Formula Theorem Choose All That Apply O Course Hero



Covariance And Correlation



Binomial Expansion Formulas Derivation Examples



Journal Of Statistics Education V13n3 Sheldon Stein



Binomial Theorem Wikipedia



Section Formula Internal And External Division Coordinate Geometry Geeksforgeeks



Section 4 Bivariate Distributions



Pdf On The Quaternary Form X 2 Xy 7 Y 2 Z 2 Zt 7 T 2



14 2 Limits And Continuity



What Is The Graph Of Xy 2 Quora



Covariance And Correlation



How To Solve This Equation Math Begin Cases X 2 Y 11 Y 2 X 7 End Cases Math Quora



Assignment No



Sherman Morrison Formula Wikipedia



Misc 3 Prove Cos X Cos Y 2 Sin X Sin Y 2 Class 11



Distance From Point To Line Using Vectors Proof Of Formula With Several Pictures Calculus Coaches



Distance Between Two Points Formula Derivation Examples



Probability Mathbb E Xy Mathbb E X Mathbb E Y Where Do We Use Independence Property Mathematics Stack Exchange



Trigonometry Proof Cos X Y Cos X Cos Y Sin X Sin Y Youtu Be B0o Dvfkybu Youtube



Solved Part B Computing Expectations By Conditioning Consider Two Random Variables X And Y Let The Conditional Expectation Of X Given That Y Ybe Denoted By E Xiy Y Or Simply E Xiy An



Solutions To Implicit Differentiation Problems



Proof Of The Sine Angle Addition Identity Video Khan Academy



Proof Of X A X B Formula In Geometric Method



Cos A B Formula Cos X Y Identity



Deriving The Equation Of An Ellipse Centered At The Origin College Algebra



Green S Theorem Statement Proof Formula Example Applications



Proving Algebraic Inequalities



Spot The Math Errors Skulls In The Stars



If Sinx Nsin X 2y Prove That Tan X Y 1 N 1 N Tany Mathematics Topperlearning Com Elqg3ff



16 X Y 2 X Y 1 8 X Y 12 X Y 7 Find The Value Of X And Y Quora



How To Derive The Algebraic Identities Youtube



X Y 2 Is Equal To



If Xy Log X Y 1 Prove That Dydx Y X 2y X Y X Xy 2 X Y



Distance Formula And Derivation In Coordinate Geometry



7 First Order Logic Logic And Proof 3 18 4 Documentation



Solved 1 3x Tx Vyoxy False Proof This Wff Is True Iff Some Triangle Is Over Every Object Nothng Is Over Itself 2 Ax Tx Vy Oxy 4 Xy True Proof This Wff Is



Solved I Am Asked To Complete The Trigonometric Identity Chegg Com



A The Proof Of Abc Formula B The Proof Of The Vertical Axis Of Download Scientific Diagram



Finding Integrating Factor For Inexact Differential Equation Mathematics Stack Exchange



Distance Between Two Points Formula Derivation Examples



Solved Let F X Y Xy 2 Cos 2 Y 4x 2 1 3 Y 2 We Will Chegg Com



Distribution Of The Product Of Two Random Variables Wikipedia



Misc 4 Prove X2 Y2 C X2 Y2 2 Is General Solution Of



If Math X Y Z Math How Do You Prove Math Cos 2 X Cos 2 Y Cos 2 Z 1 2 Cdot Cosx Cdot Cosy Cdot Cosz Math Quora



Algebra Formula List Of Algebraic Formulas Examples



Proof Of A B Formula In Geometric Method



Prove A Group Is Abelian If Ab 2 A 2b 2 Problems In Mathematics



Inequality Of Arithmetic And Geometric Means Wikipedia



Projectile Motion Derivation Of Equations Or Formula Height Time Range



Prove A Formula For Sinh X Y Stumbling Robot



1



Pdf On Multi Variable Zassenhaus Formula



Algebric Identity X Y ब ज य सर वसम क Youtube



Precalculus Trigonometry Trig Identities 37 Of 57 Sum To Product Formula 1 Youtube



Falkenblog Formula For Var Xy



Ap Statistics Why Variances Add And Why It Matters Ap Central The College Board



1



Section Formula Internal And External Division Coordinate Geometry Geeksforgeeks



Calculus Simple Proof Of X N Y N X Y X N 1 X N 2 Y Xy N 2 Y N 1 Mathematics Stack Exchange



Proofs Of Logarithm Properties Video Lessons Examples And Solutions



Misc 4 Prove Cos X Cos Y 2 Sin X Sin Y 2 Chapter 3



Polarization Identity Wikipedia



Proof Of A B Formula In Geometric Method


0 件のコメント:
コメントを投稿